rafavi EW
Car Extended Warranty
比亚迪动力电池介绍 | 车型 | 特斯拉 | 普锐斯 | 北汽EV200 | e6先行者 |
| 正极材料 | 三元锂电池 | 镍氢电池 | 三元锂电池 | 磷酸铁锂 |
| 电池供应商 | 松下 | 松下 | 韩国SK | BYD |
| 电池容量(kWh) | 85 | 1.4 | 30.4 | 82 |
| 续航里程 | 426 | 4 | 245 | 400 |
磷酸铁锂电池与其他材料电池相比的优劣势
| 电池类型 电池特性 |
磷酸铁锂 | 钴酸锂 | 锰酸锂 |
| 理论比容量 | 170mAh/z | 274mAh/g | 148mAh/g |
| 实际比容量 | 125 m.Alh/g | 140 mAh/g | 105 m/Ah/g |
| 电压 | 203.8V | 27-43V | 2.7-4.3V |
| 村料结构 | 橄揽石型 | 层状 | 尖品石型 |
| 材料优势 | 循环寿命长 安全性能优异 材料结构稳定 充放电倍率 |
快速充放电 比容量高 合成简单 |
工作电压高 功率特性优良 成本较低 |
| 村料劣势 | 工作电压低 合成成本高 本体导电性较差 |
材料成本高(Co源昂贵) 安全性能差(充放电结构变化,释放O2) |
日历寿命 &循环寿命差(尤其高温下,Mn溶解) |
| 安全性能 | 优异 | 差 | 良好 |
BYD铁电池(磷酸铁锂)充放电原理:![]()
LiFePO4+6C⇔FePO4+LiC6(充电/放电)
LiFePO.电池在充电时,正极中的锂离子Li+通过聚合物隔膜向负极迁移;在放电过程中,负极中的锂离子Li+通过隔膜向正极迁移。
动力电池评估
A动力电池包性能评估:
一般包括:容量性能、倍率性能、温度特性、储存衰减特性、循环寿命和自放电特性等;
B动力电池包安全性能评估: .
一般包括:耐过充性能、耐过放性能、针刺、挤压、撞击、跌落、高温、火烧等。
电池包术语
单体电池(Cell)
直接将化学能转化为电能的最小单元,包括正极、负极、电解液、外完等。
电池模组(Module)
将多个单体电池按照串联、并联或串并混联方式组合,作为电源使用的组合体。该组合体可能附带电子控制系统。
动力电池(Pack)
用来给动力电路提供能量的所有电气相连的董电池包的总称。
额定容量
在环境温度为25°C土3°C条件下,充满电的电池以额定电流(或者额定功率)放电至终止电压时能所应提供的电量,单位为安时(Ah) 。
额定能量
在环境温度为25°C土3°C条件下,充满电的电池以额定电流(或者额定功率)放电至终止电压时能所应提供的能量,单位为瓦时(Wh), 1度电等于1000Wh。
充电终止电压(上限保护电压)
单体电池/电池模组/电池包充电时要求的最高充电电压值,单位为伏特(V)。
放电终止电压(下限保护电压)
单体电池/电池模组/电池包放电时要求的最低放电电压值,单位为伏特(V) 。
开路电压(OCV, Open Circuit Voltage)
外电路处于断路状态时的电池电压。
荷电态(SOC, State 0f Charge)
电池当前所拥有的的电量,以当前所拥有的容量占电池常温下总容量的百分比表示,简称SOC。
SOC其他定义
美国先进电池联合会(USABC)的《电动汽车电池实验手册》中将SOC定义如下:
在指定的放电倍率下,电池剩余电量与等同条件下额定容量的比值。
剩余容量/额定容量
韩国起亚汽车/日本本田电动汽车(EV Plus) SOC定义
剩余容量/(额定容量-容量衰减因子)
SOC的主要影响因素:
放电电流、容量衰减、温度、自放电、一致性
目前SOC的主流计算方法
| SOC计算方法 | 优点 | 缺点 |
| 放电实验法 | 准确、可靠 | 须中断,时间长 |
| 安时计量法 | 计算较为简单 | 相对误差较大 |
| 开路电压法 | 在数值上接近电池电动势 | 需要长时间静置 |
| 线性模型法 | 模型简单 | 不够准确 |
| 内阻法 | 与S0C关系密切 | 测量困难 |
| 卡尔曼滤波法 | 适合非线性模型 | 需准确的模型算法 |
| 神经网络法 | 精度比较高 | 需大量训练方法和数据 |
放电深度(DOD, Depth Of Discharge)
一般而言,电池循环是指电池充电后再放电的充放电过程。
由于不同条件下电池放电量不一样,为了描述电池放电量的多少,引入DOD概念,即放电深度。充满电的电池一次放完电,即为100%D0D, 放出一半的电量,则为50%DO0D。
放电倍率
表示电池放电电流值大小的参数,以额定容量(C) 的数值表达,单位为安培(A) ,如一支额定容量为50Ah的电池,以1C放电,则表示放电电流为50A (1X50) ,同理,如果以0.5C放电,则表示放电电流为25A (0. 5X50)
被载动力电池
已安装于e6纯电动轿车.上的动力电池。
独立动力电池
未安装于e6纯电动轿车上的动力电池(备件、故障件)。
容量评估

比亚迪铁电池经过独特的低温设计,在低温上仍然有很好的性能发挥。如. 上图所示,即使在- -30°C低温下,电池仍可保持90%以上的容量输出
倍率性能评估

比亚迪铁电池具有极高的能量转换效率(充电放电这样一个循环的效率),在0. 5C以下的倍率,充放电转换效率达96%以上,作为对比,铅酸电池在此倍率下效率低于80%,所以铁电池具有良好的节能效果。
温度特性评估
比亚迪铁电池采用低阻抗设计,因此即使在大电流情况下,电池本身的发热也非常小,200Ah的电池以200A的电流充放电,温升也仅在5'C左右, 这与其很高的能量效率是一致的。下图展示了不同倍率充放电时的温升情况

循环寿命评估
比亚迪铁电池具有超长的使用寿命,一般手机电池在500次左右,但比亚迪铁电池寿命至少4000以上。




电池储存衰减特性


比亚迪铁电池在储存过程中容量衰减速率极低,但同时也可以看到,温度和SOC对容量的衰减速率有较大的影响。一般来说,动力电池在较低SOC, 常温度下储存,有利于降低寿命衰减,相反在较高的SOC和较高的温度下,容量衰减速率会较快,所以在可能的情况下,尽量把电动车置于较低的温度 下储存。
电池的自放电特性
电池的自放电与S0C相关
100%SOC下,每月自放电率在2%以下,每年自放电率在10%以下;
50%SOC下,每月自放电率在1.5%以下,每年自放电率在5%以下。

在不同SOC下的静态电压特性
BYD铁电池不同SOC对应静态电压曲线

安全性能评估:
1、高温、漏电保护
BYD电池采用BMS管理器,通过对电压采样、温度采样、电池均衡、采样线异常检测等;对电池异常状态报警和保护、自检以及通讯功,确保动力电池安 全。
2、动力电池不爆炸
BYD的磷酸铁锂动力电池采用高安全性的磷酸铁锂材料,经过比亚迪精细的电化学设计、电极设计、电芯及成组结构设计、全自动生产线及严格的品质 控制等全方位的安全设计及防护措施,同时通过一系列严格的实验表明,BYD的磷酸铁锂动力电池即使在极端的情况下也不会发生爆炸。
4、碰撞后短路不起火
电池碰撞后,壳体变形,若变形严重,电池短路,瞬间释放能量,内部将产生气体,气体达到一定量时电池防爆阀启动,气体从防爆阀处泄漏排出,电 池不会发生爆炸
5、电磁场辐射强度安全
根据国际认可的低频电磁场辐射强度安全限值为100μT,我们动力电池包58.8μT是绝对安全的!
电池安全性能足以经受各种严苛试验
为了确保动力电池具有良好的安全稳定性,在研发过程中曾多次对“铁电池”进行:火烧、短路、针刺、撞击、高温、挤压、过充等极端测试。
F3DM动力电池包介绍
组成:
1、共有10个模组
2、每个模组10个单体
3、电压采样线101条
4、温度采样线110条
5、正负极母线各1条
6、托盘1个
7、压条
参数:
1、每个单体3.3V
2、电池包标称电压330V、容量45Ah
3、一次充电15度
电池包常见故障分析
温度类
一般故障表现形式: 车辆上不了OK档,仪表盘提示动力电池温度过高。
出现温度告警后,首先需排除管理器、连接线束等因素(更换管理器、管理器与电池包连接采样线束) ;更换后若故障仍存在,则判断为动力电池故障。
动力电池包漏电类
-般故障表现形式:仪表OK灯不亮,仪表提示请检查动力系统,压系统漏电故障。
断开电池包与车身所有连接(正负极引出、采样线接口) ,闭合维修开关总成,万用表测试电池包各项参数:
①闭合维修开关。
②使用万用表测量动力电池总电压V。
③使用万用表测量正极与车身电压V1。
④使用万用表测量负极与车身电压V2。
⑤万用表笔更换为并联定值电阻表笔,并将档位拨至电阻档,测量定值电阻值R。
⑥万用表档位拨回直流电压档,测量并联电阻后,正极与车身电压V1’。
⑦测量并联电阻后,负极与车身电压V2'
⑧测量结束后断开维修开关。
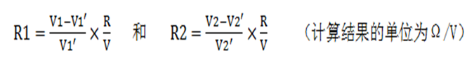
分别以下公式计算:![]()
R1=(V1-V1')/V1' *(R/V)
R2=(V2-V2')/V2'*(R/V)
(计算结果的单位为Ω/V)
两者中的最小值为绝缘电阻(计算过程中,V、V1、 V1’、V2、V2’的单位为伏特V,R的
单位为欧姆Ω)。绝缘电阻值小于500Ω/V ,为漏电。
正、负极对采样线接口V12-电压
正、负极对采样线接口V12-正常电压<1V,正、负极任意一侧与V12-电压大于20V即判断温感漏电。
采集器通讯超时类
故障案例:
车辆无法上高压,挂档不走。用诊断仪检测电机控制器无故障码,检测高压电池管理器均报0-9号采集器通讯异常。检测电池包采样线无12V输入,CAN-H与屏蔽地阻值大于1MΩ ; CAN-H、CAN-L123欧。
动力电池包体采样端子阻值:
①X-V12+对与X-V12-电压: 12V左右(注:此值为线束端的测量值)
②CAN-H与CAN-L阻值: 122Ω左右
③CAN-H与屏蔽地阻值:正常值> 1MΩ
④CAN-L与屏蔽地阻值:正常值> 1MΩ
⑤电池包正极与X-V12-电压:正常值< 20V
⑥电池包负极与X-V12-电压:正常值< 20V
⑦电池包正极对负极(电池包总电压)
e6 A/B/J动力电池包采样端子定义
A 型布局
B 型布局
动力电池严重不均衡类
故障案例:
e6充满电后只能行驶80KM左右,诊断议读取故障码为: P1AB800:BIC均衡硬件严重失效、P1ABA00:电池严重不均衡。
检查方法:
1、对车辆进行全充全放一次:
2、倒换BMS测试80%、50%、 0%单节电池电压数据流,观察最低电池电压号是不否一致;故障依旧更换动力电池。
动力电池SOC跳变类
故障描述:
车辆在高速上SOC从68%迅速跳致0%,回店用诊断议读取最低单节电池电压为2.10V,最高3.33V
故障排查:
1、经检查发现电脑上位机读取数据显示第37节电池电压严重过低;
2、倒换BMS最低单节电池仍为37 ,排除BMS故障;
3、举升车辆发现电池包托盘有被撞击的痕迹。根据撞击部位与37节电池布置吻合,此故障判断为撞击导致,建议尽快报保险处理。
存储环境要求
电池不同储存环境下的储存时间参照下表:
| 储存环境温度 | 储存环境相对湿度 | 储存时间 | 荷电状态 |
| -20~35°C (推荐) | 5%~90% | 1年以内 | 30%≤SOC≤60% |
| -40~40°C | 5%~90% | 6个月以内 | 20%≤SOC≤60% |
| 40~50°C | 5%~90% | 不能超过7天 | 30%≤SOC≤60% |
| 50~55°C | 5%~90% | 不能超过24h | 30%≤SOC≤60% |
| -40°C以下 | / | 不允许 | / |
| 55°C以上 | / | 不许允许 | / |
●在仓库醒目位置需粘贴高压危险、严禁烟火、禁止裸手作业等安全标识;仓库屋顶和墙壁需防水,并保持墙壁和地板的干燥;
●仓库需保持清洁,不可有粉尘,尤其不可有金属屑等导电粉尘,以避免出现漏电等安全隐患;
●电池储存期间应避免阳光直射,距离热源(温度大于50°C)不得少于2m;
●库中不可有腐蚀性气体,以免破坏电池模组结构件和电池包装,影响电池性能;。
●仓库中不可有油、腐蚀性溶剂等液体与电池包装箱接触,以免破坏电池模组结构件和电性能;
●仓库中不可有鼠虫等存在,以免破坏模组包装。
存储方式
●电池包卡板需水平放置,最多只可叠放两层,不可在电池包卡板.上堆放其他物品,以免压迫电池包卡板造成电池模组的损坏。
●电池包卡板必须水平放置,卡板旁边 需留下安全通道,以方便电池包体的搬运和操作等。
●保留卡板标签:储存时需确保卡板标签完好,且标签统一存放在一个方向,以便查询。
动力电池的运输
装车要求
√装车时,禁止产品及卡板淋水;
√建议采用电动叉车、运载能力适合的手动叉车等搬运;
√应采用单独车厢装载动力电池;如无法避免时,确保证与易燃、易爆及危化品完全隔离。
√装车过程中注意防止卡板跌落或碰撞。
卸货要求
√卸货要求与装车要求一致。
陆地运输
.运输时应避免因急刹车等导致电池包卡板之间或卡板与运输车体之间的挤压、碰撞;
.运输时车厢内环境温度不得超过45°C;
.运输时必须确保产 品不被淋水或暴晒。
海运及空运
.海运及空运需使用危包认证过的专用包装,普通包装时不允许通过海运及空运运输;
.采用海运及空运时,动力电池包装箱表面温度或周围环境温度不得超过45°C;
.运输时应避免电池包卡板之间或卡板与其他物体之间的挤压、碰撞;
.运输时必须确保产品不被淋水或暴晒。